RED LIGHT CAMERAS
www.highwayrobbery.net


Email Address
Site Index

If you haven't already done so, please read the San Francisco section on the Camera Towns page

City of San Francisco Documents

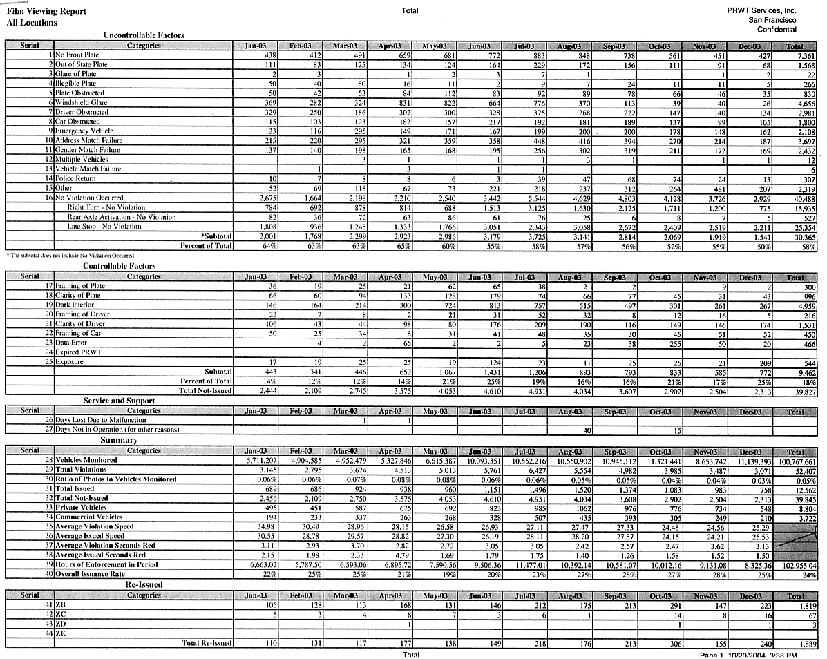
Ticket Counts - Annual Summaries

These are the annual system-wide summaries supplied to the City by their camera vendor.
The vendor also provides a similar annual summary for each camera location.

New 10-31-04





























---------------------------------
RED LIGHT CAMERAS

www.highwayrobbery.net
www.highwayrobbery.net